Information et Codages

Objectifs :

1.1 Introduction

Le rôle des télécommunications fut d'abord de transporter à distance un signal acoustique sous forme analogique. L'informatique ne s'occupait alors que du traitement numérique d'information. Le besoin de plus en plus pressant d'échanger l'information entre ordinateurs et de leur confier des tâches de commutation et de gestion des communications est à l'origine de la révolution technologique que connaît actuellement le monde des télécommunications. C'est ainsi que les communications analogiques ont cédé la place aux communications numériques, et que maintenant, la plupart des systèmes et réseaux de communication peuvent transporter aussi bien les signaux analogiques (la parole et l'image) que les données numériques.

Dans un système de communication numérique, les informations sous forme de texte ou d'image doivent être codées en binaire où chaque caractère ou symbole correspond à une suite binaire unique. La suite binaire est acheminée sous forme d'impulsions dont plusieurs types existent pour mieux les adapter aux caractéristiques des différents liens de communication.

1.2 Bit, Mot, Bloc et Message

Les systèmes de communications numériques véhiculent des informations sous forme binaire où la quantité élémentaire est le bit. Un certain nombre de bits forment un mot pour représenter les caractères ou les symboles selon le code utilisé. La figure 1.1 représente un mot binaire de sept bits illustrant le signal binaire transmis correspondant à un caractère quelconque. Enfin un message est composé d'un certain nombre de mots. Normalement, on transmet un message complet plus ou moins long ou des tranches d'un message appelées blocs.


Figure 1.1 : Mot binaire à sept bits

1.3 Débit binaire

Nous appelons le débit binaire D le nombre de bits transmis par unité de temps, représentant ainsi la vitesse de transmission. Le débit binaire est normalement exprimé en bits par seconde (bps). Une autre quantité couramment utilisée est le baud qui exprime le nombre de changement d'état par unité de temps. bps et baud ne sont équivalents que pour un signal à deux niveaux.  Le paragraphe suivant éclaircira ce point.

1.4 Signaux numériques à plusieurs niveaux

Pour représenter l'information binaire sous forme d'un signal électrique, nous utilisons souvent deux tensions (ou phases) distinctes (figure 1.2 a). Dans ce cas, le nombre de bits transmis à chaque seconde est le même que le nombre de changements d'état par seconde et en conséquence baud et bps sont équivalents. Maintenant, si pendant le temps alloué à un bit Tb nous voulons en transmettre deux, il nous faut alors quatre niveaux de tension ou de phase pour avoir quatre combinaisons différentes de deux bits. Dans ce cas, chaque changement d'état correspond à deux bits transmis à la fois et, en conséquence, un baud est égal à deux bps. En général, pour un codage à 2 niveaux, un baud est égal à N bps. La figure 1.2 montre les signaux générés avec un codage à deux niveaux et avec un codage à quatre niveaux de tension.

Signaux binaires à deux niveaux
Figure 1.2.a : Signaux binaires à deux niveaux.

Signaux binaires à quatre niveaux
Figure 1.2.b : Signaux binaires à quatre niveaux.

Exemple 1.1

Avec un codage à (21) niveaux          1          baud = 1 bps

Avec un codage à (22) niveaux          1          baud = 2 bps

Avec un codage à (23) niveaux          1          baud = 3 bps

Avec un codage à (24) niveaux          1          baud = 4 bps

En codage de phase, l'information est contenue dans le changement de phase du signal transmis par rapport à un signal de référence. La figure 1.3 illustre ce type de codage avec 2, 4 et 8 phases respectivement.

Codage de phase
Figure 1.3 : Codage de phase

Les modems 201 et 201 B de Bell utilisent une technique de modulation à quatre phases pour transmettre à 2400 bps ou 1200 bauds, selon le tableau 1.1.

DIBIT

CHANGEMENT DE PHASE

00

450°

01

135°

11

225°

10

315°

Tableau 1.1 : Les changements de phase selon de dibit.

Certains modems rapides utilise un codage combiné en amplitude et en phase. La figure 1.4 illustre trois type de ce codage.

Codage combiné en amplitude et en phase
Figure 1.4 : Codage combiné en amplitude et en phase

1.5 Quelques codes utilisés en téléinformatique

Nous avons mentionné, au début de ce chapitre, que les informations sous forme de texte ou d'image doivent être codées en binaire où chaque caractère ou symbole correspond à une suite binaire unique. À cet effet, il existe plusieurs codes pour représenter par des suites binaires d'un certain format les lettres les chiffres et les symboles et éventuellement, les caractères de contrôle. Le nombre de bits utilisé par un code détermine le nombre de caractères différents qui peuvent être représentés. Par exemple, un code à N bits permet de représenter 2N caractères différents. Les codes ASCII, Baudot, BCD et N dont M en sont des exemples.

1.5.1 Code ASCII (American Standard Code for Information lnterchange)

Le code ASCII est un code à sept bits permettant de représenter 27 ou 128 caractères différents (tableau 1.3). Il a été conçu de façon à faciliter le tri et les calculs. Les chiffres et les lettres sont placés dans les cases consécutives. Les lettres majuscules et minuscules ne diffèrent que par le sixième bit. Un bit de parité est parfois ajouté.  Ainsi, en parité paire, la lettre A (1000001) deviendra (01000001), tandis qu'en parité impaire, la même lettre deviendra (11000001). Si la parité paire a été choisie à l'émission, tous les caractères devront être reçus en parité paire également. Dans le cas contraire, une erreur de parité sera signalée. Comme vous pouvez le constater, la parité est un bit ajouté comme bit le plus significatif. Dans le cas de la parité paire, ce bit prend la valeur 0 ou 1 de sorte que le nombre total de 1 dans le mot soit pair. Dans le cas de la parité impaire, le bit de parité rend impair le nombre total de 1 du mot. Il est intéressant de remarquer que les chiffres décimaux de 0 à 9 sont codés en ajoutant le chiffre 30 en hexadécimal.

Caractères du code ASCII
Tableau 1.2 : Caractères du code ASCII

Le tableau 1.2 énonce les différents caractères du code ASCII et leurs équivalents binaires.

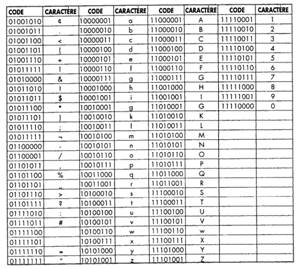
1.5.2 Code Baudot

Ce code à cinq bits, aussi appelé code télégraphique, a été conçu et employé par le réseau télégraphique commuté (Telex). Puisque 32 combinaisons ne suffisent pas pour représenter tous les chiffres et lettres, une suite binaire est partagée par deux caractères différents grâce à deux caractères spéciaux: (11111) pour les lettres et (11011) pour les chiffres et les symboles, permettant ainsi de représenter 60 caractères différents.

Le tableau 1.3 présente les différents caractères de ce code et les suites binaires correspondantes.

Caractères du code Baudot
Tableau 1.3 : Caractères du code Baudot.

Exemple 1.2

Donner les suites binaires générées par le code Baudot pour représenter l'expression CODE-3A

Solution:         (à lire de droite à gauche)

A         lettre    3          -           chiffre E         D         O         C         lettre

00011  11111  00001  00011  11011  00001  01001  11000  01110  11111

1.5.3 Code N dont M

Le code N dont M le plus connu est celui de 8 bits dont 4 sont toujours à 1 et les quatre autres sont toujours à 0. Ceci réduit le nombre de caractères représentés par ce code à seulement 70.  Par contre il permet une vérification rapide des erreurs de transmission. Un autre type de code N dont M est celui de 11 dont 7 utilisé dans la technologie des disques compacts.

1.5.4 Code BCD (Binary Coded Decimal)

C'est un code à 6 bits auquel on peut ajouter un bit de parité. Quatre zones sont crées à l'aide des cinquième et sixième bits. Les chiffres 0 à 9 sont codés comme en binaire avec les quatre bits les moins significatifs (tableau 1.4).

Caractères du code BCD
Tableau 1.4 :  Caractères du code BCD

1.5.5 Code EBCDIC (Extended Binary Coded Decimal lnterchange Code)

Caractères du code EBCDIC
Tableau 1.5 : Caractères du code EBCDIC.

Ce code, utilisé par les machines IBM 360/370, est un code à 8 bits sans parité. Il permet donc de représenter 256 caractères. Il est plus flexible que le code ASCII puisque toutes les possibilités ne sont pas exploitées. Il permet ainsi au programmeur de créer des codes au besoin. Les chiffres de 0 à 9 sont codés comme en DCB à l'aide des quatre bits les moins significatifs, les autres bits étant à 1. Le tableau 1.5 présente les différents caractères et les suites binaires correspondantes du code EBCDIC.

cours codages transmission débit binaire Code ASCII Code BCD Code Baudot Code EBCDIC Code N dont M

Révisé le :21-12-2017 www.technologuepro.com Facebook Twitter RSS